

能够从上述资料中推出的是:
- A.2013年,采矿业法人单位占全国法人单位的比重超过1%
- B.2013—2018年间,机关、事业法人单位年均增加不到1万个
- C.2013年,批发和零售业法人单位数量是教育法人单位数量的7倍以上
- D.2013—2018年间,科学研究和技术服务业是法人单位数年均增速最快的行业
正确答案及解析
正确答案
解析
第一步,本题考查综合分析。
第二步,A选项,基期比重计算。定位表格,根据基期量=现期量-增长量,2013年采矿业法人单位有7-1.9=5.1(万个),全国法人单位约有2179-1093=1086(万个),5.1<1068×1%,错误。
B选项,年均增长量计算。定位柱状图,根据年均增量=(末期量-初期量)/相差年数,可知2013—2018年,机关、事业法人单位年均增加
(万个),正确。
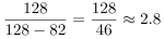
C选项,基期倍数计算,定位表格,根据基期量=现期量-增长量,将数据取整,可得
,未超过7倍,错误。
D选项,年均增长率比较。定位表格,根据
,年份差n相同时,年均增速比较可转为比较“
”,初期量=末期量-增长量,将数据取整,科学研究和技术服务业为
,而建筑业为
,显然,科学研究和技术服务业年均增速并非最高,错误。
因此,选择B选项。
包含此试题的试卷
你可能感兴趣的试题
自人类在地球蛮荒的原野中诞生,自然的演化就烙上了人类活动的印记。原始文明,先民对大自然顶礼膜拜,人类屈服于宇宙的神奇威力;农业文明,随着智力的发育和对宇宙认知的增加,人类在敬畏自然的基础上开始探索利用自然和改造自然;进人工业文明,人定胜天的骄傲心态侵蚀了人们的神经,人类开始无穷无尽地向自然索取资源,肆无忌惮地向大地倾倒垃圾。人类违背自然的行为,使大自然一次次遭受剧烈的创伤,也使其一次次向人类实施无情的报复。
这段文字意在强调:
-
- A.文明进程与人类对大自然的认知水平未必一致
- B.人类对大自然的错误态度使其陷人目前的闲境
- C.敬畏自然是正确处理人类与大自然关系的前提
- D.人类应当建立尊重自然、和谐发展的价值理念
- 查看答案
左图为某一零件的立体图形,右边哪一项不属于该立体图形的截面图?

-
- A.如上图所示
- B.如上图所示
- C.如上图所示
- D.如上图所示
- 查看答案
( ) 对于 裁判 相当于 案件 对于 ( )
-
- A.球员;法庭
- B.黑哨;上诉
- C.比赛;法官
- D.比分;律师
- 查看答案
上海市生活垃圾分类工作实施以来,在居民分类、垃圾分类处置、全过程分类体系、配套制度规范以及社会宣传等方面都取得了显著成效。下图为上海市垃圾分类年度日均完成量及2020年目标,下表为上海市垃圾分类回收处理量。


2019年7—9月,日均湿垃圾分出量约为( )吨。
-
- A.8803
- B.8702
- C.9200
- D.8800
- 查看答案
王某等12户房民系D市H区众望苑住宅小区15号楼的住户,该15号楼与一垃圾压缩站相距约30米。该垃圾压缩站是众望苑小区所在的H区Y镇政府新建的垃圾处理项目,专为处理众望苑及周边儿个小区的生活垃圾而建的。垃圾压缩站在筹建过程中,Y镇政府向H区环保局提交了《建设项目环境影响申报(登记)表》申请环境行政许可,并根据该局有关须委托有资质的环评单位编制环境影响报告表的意见,委托D市环境科学研究所编制相关报告表,其后送至该局进行审批,H区环保局作出了《关于对D市H区众望苑垃圾压缩站建设项目环境影响报告表的审批意见》(以下简称《审批意见》),同意在众望苑小区15号北侧地块建设垃圾压缩站项目,并对该项目在运营过程中产生的废水、异味的处理、场界噪声对邻近环境质量的影响及各类固体废物处置等提出了具体要求。
王某等12户居民认为,垃圾压缩站投入运营后所产生的污水、废物、噪声、臭味等污染会对其生活造成重大影响,该项目的许可与其有重大利益关系,H区环保局在未征询其意见的情况下即作出《审批意见》,侵犯了其合法权益,故要求H区环保局撤销该《审批意见》。
有下列______情形的,H区环保局可以依据职权撤销《审批意见》这一行政许可。
-
- A.H区环保局相关工作人员滥用职权作出准予行政许可决定
- B.H区环保局违反法定程序作出准予行政许可决定
- C.Y镇政府不符合获得该行政许可的法定条件
- D.H区环保局相关工作人员玩忽职守作出准予行政许可决定
- 查看答案