小雨和弟弟进行百米赛跑,小雨比弟弟跑得快,如果两人同时 起跑,小雨肯定赢。
现在小雨让弟弟先跑若干米,图中l 1、l 2分 别表示两人的路程与小雨追赶弟弟的时间的关系,
由图中信息 可知,下列结论中正确的是( )。

- A.小雨先到达终点
- B.弟弟先跑了1O米
- C.弟弟的速度是10米/秒
- D.弟弟的速度是8米/秒
正确答案及解析
正确答案
D
解析
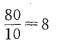
由图可知,弟弟先跑了 20米后,小雨才开始跑;在第10秒的时候,两人同时到达百米终点。所以,在10秒内,弟弟跑了 100 —20==80(米),所以,弟弟的速度是
(米/秒),D项正确。




