

根据上述材料,以下说法错误的有几个:
①2020年,表中主要国家和地区对我国的货物进出口实现顺差的有5个
②2019年,我国一般贸易出口额高于机电产品出口额的一倍
③2020年,我国高新技术产品进出口额占货物进出口总额的比重超过三成
- A.0
- B.1
- C.2
- D.3
正确答案及解析
正确答案
C
解析
第一步,本题考查综合分析,且需选出错误说法的个数。
第二步,①,读数比较。定位表2;若一个国家对我国的货物进出口实现顺差,意味着我国对其货物进出口为逆差,即需要表2中的“进口额”一列>“出口额”一列,表中满足此条件的国家和地区有:日本、韩国、中国台湾、巴西、俄罗斯、南非,共计6个,错误。
②,基期倍数计算。定位表1,根据基期倍数公式
,代入数据可得
,应不足一倍,错误。
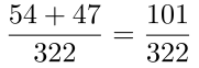
③,求比重。定位表1,根据比重=
,将分母从左向右截取前三位,分子加法计算截位舍相同,代入数据可得
,直除首位商3,即占比超过三成,正确。
综上,①②错误,③正确,错误的共有两个。
因此,选择C选项。
你可能感兴趣的试题
从所给的四个选项中,选择最合适的一个填入问号处,使之呈现一定的规律性:

-
- A.如上图所示
- B.如上图所示
- C.如上图所示
- D.如上图所示
- 查看答案
娱乐体育是指人们在余暇时间进行的一种娱乐性极强的身体活动,它既是一种娱乐手段,又是一种锻炼身体的手段。
根据上述定义,下列不属于娱乐体育的一项是( )。
-
- A.几年来,某地每年举办国际风筝节;每次都举行放风筝比赛
- B.为了吸引更多的游客,某新建公园举办了一次大型钓鱼比赛
- C.北京奥运会前夕,不少单位组织员工进行拔河比赛
- D.为了促进中国篮球事业发展,中国篮协每年都举办CBA比赛
- 查看答案
某机关拟在全民国防教育日举办专项国防教育活动。至于采用何种活动形式,组织者甲、乙、丙三人意见如下:
甲:如果搞读书演讲、知识竞赛,那就不搞文艺演出和专题展览。
乙:如果不搞文艺演出和专题展览,那就搞读书演讲、知识竞赛。
丙:不搞读书演讲、知识竞赛。
上述三人的意见只有一个人的意见与最后结果相符合,最后结果是( )。
-
- A.搞读书演讲、知识竞赛,也搞文艺演出和专题展览
- B.搞读书演讲、知识竞赛,不搞文艺演出和专题展览
- C.搞文艺演出和专题展览,不搞读书演讲、知识竞赛
- D.不搞读书演讲、知识竞赛,也不搞文艺演出和专题展览
- 查看答案
谬误:语法
-
- A.木头:煤炭
- B.俗气:文章
- C.馒头:面粉
- D.快乐:高兴
- 查看答案
夏燕、贾枢和郑薇三个同学一起去旅游。为了照相方便,每个人拿的是同学的相机,背的是另一个同学的包。
如果背着郑薇包的人拿的是贾枢的相机,那么以下哪项为真?( )
-
- A.贾枢拿的是郑薇的相机
- B.郑薇拿的是贾枢的相机
- C.郑薇背的是夏燕的包
- D.贾枢背着郑薇的包
- 查看答案