已知A地在B地的正西方48km处,在C地的正南方20km处。若小王开车从BC两地连线的中点D出发最后到达A地,有两种前进路线:①沿垂直于BC连线方向出发,到达AB两地连线上的E点后,沿着AB连线方向前进最终到达A地;②先沿BC连线方向前进到达B地,再沿BA连线方向前进到达A地。两种路线行驶的路程相差在以下哪个范围内?
- A.20千米以下
- B.20—30千米
- C.30—40千米
- D.40千米以上
正确答案及解析
正确答案
D
解析
第一步,本题考查几何问题,属于平面几何类。
第二步,根据题意可画图如下:

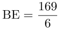
在直角△ABC中,AB=48,AC=20,则BC=52,D是BC中点,则BD=CD=26。因为DE⊥BC,则△BDE∽△ABC,可得
,即
,解得
,
。
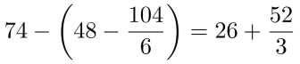
第三步,方式①行驶的路程为
,方式②行驶的路程为BD+BA=26+48=74。两种方式相差
≈26+17.3=43.3千米。
因此,选择D选项。
包含此试题的试卷
你可能感兴趣的试题
《三国演义》开篇称:“天下大势,分久必合,合久必分。”但是这句话未必准确,因为( )。
-
- A.事物的发展需以条件为前提
- B.事物的本质不以时间为转移
- C.事物的质变是从量变开始的
- D.矛盾双方是可以相互转化的
- 查看答案
从所给的四个选项中,选择最合适的一个填入问号处,使之呈现一定的规律性:

-
- A.如上图所示
- B.如上图所示
- C.如上图所示
- D.如上图所示
- 查看答案
下列哪一项不属于《宪法》规定的公民的基本权利?( )
-
- A.环境权
- B.平等权
- C.出版自由
- D.受教育权
- 查看答案
体验营销是指企业采用让目标顾客观摩、聆听、尝试、试用等方式,使其亲身体验企业提供的产品或服务,让顾客实际感知产品或服务的品质或性能,从而促使顾客认知、喜好并购买的一种营销方式。
根据上述定义,下列采用了体验营销方式的是( )。
-
- A.某美容公司举办了一场以“亲子教育”为主题的消费者联谊会,把“为消费者着想”的经营理念传递给潜在的客户
- B.某服装公司邀请批发商参加其产品推广介绍会,在会上安排了表演、小竞赛、新产品试用等活动
- C.某公司为维护行业领军地位,多次举办全国性的行业讨论会,邀请其部分消费者参与研讨
- D.某化妆品公司先打开国外市场,树立国际品牌形象,然后在国内以电视购物的方式传播销售,逐步占领国内市场
- 查看答案
对县级以上各级人民代表大会代表批准或者决定逮捕必须经过( )。
-
- A.上级检察院批准
- B.上级人民代表大会同意
- C.本级人代会主席团或者人民代表大会常务委员会许可
- D.本级人民政府同意
- 查看答案