2020年,国内生产总值1015986亿元,按可比价格计算,比上年增长2.3%。分季度看,一季度同比下降6.8%,二季度增长3.2%,三季度增长4.9%,四季度增长6.5%。分产业看,第一产业增加值77754亿元,比上年增长3.0%;第二产业增加值384255亿元,增长2.6%;第三产业增加值553977亿元,增长2.1%。
全年全国粮食总产量66949万吨,比上年增长0.9%,增产565万吨。其中,夏粮产量14286万吨,增长0.9%;早稻产量2729万吨,增长3.9%;秋粮产量49934万吨,增长0.7%。分品种看,稻谷产量21186万吨,增长1.1%;小麦产量13425万吨,增长0.5%;玉米产量26067万吨,持平略减;大豆产量1960万吨,增长8.3%。全年猪牛羊禽肉产量7639万吨,比上年下降0.1%。其中,牛肉产量672万吨,增长0.8%;羊肉产量492万吨,增长1.0%;禽肉产量2361万吨,增长5.5%;禽蛋产量3468万吨,增长4.8%;牛奶产量3440万吨,增长7.5%;猪肉产量4113万吨,下降3.3%。
全年全国固定资产投资(不含农户)518907亿元,比上年增长2.9%。分领域看,基础设施投资增长0.9%,制造业投资下降2.2%,房地产开发投资增长7.0%。全国商品房销售面积176086万平方米,增长2.6%;商品房销售额173613亿元,增长8.7%。
1-11月份,全国规模以上工业企业实现利润总额57445亿元,同比增长2.4%,增速比1-10月份加快1.7个百分点,主营业务收入利润率为6.1%;其中11月份,规模以上工业企业利润总额同比增长15.5%,连续6个月保持两位数增长。
2020年,全国商品房平均销售价格同比约增长:
- A.8%
- B.7%
- C.6%
- D.5%
正确答案及解析
正确答案
解析
第一步,本题考查平均数增长率计算。
第二步,定位文字材料。
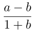
第三步,根据平均数=后÷前,以及平均数增长率计算公式
,销售额的增长率为a=8.7%,销售面积的增长率为b=2.6%,代入数据可得
。
因此,选择C选项。
包含此试题的试卷
你可能感兴趣的试题
《三国演义》开篇称:“天下大势,分久必合,合久必分。”但是这句话未必准确,因为( )。
-
- A.事物的发展需以条件为前提
- B.事物的本质不以时间为转移
- C.事物的质变是从量变开始的
- D.矛盾双方是可以相互转化的
- 查看答案
从所给的四个选项中,选择最合适的一个填入问号处,使之呈现一定的规律性:

-
- A.如上图所示
- B.如上图所示
- C.如上图所示
- D.如上图所示
- 查看答案
下列哪一项不属于《宪法》规定的公民的基本权利?( )
-
- A.环境权
- B.平等权
- C.出版自由
- D.受教育权
- 查看答案
体验营销是指企业采用让目标顾客观摩、聆听、尝试、试用等方式,使其亲身体验企业提供的产品或服务,让顾客实际感知产品或服务的品质或性能,从而促使顾客认知、喜好并购买的一种营销方式。
根据上述定义,下列采用了体验营销方式的是( )。
-
- A.某美容公司举办了一场以“亲子教育”为主题的消费者联谊会,把“为消费者着想”的经营理念传递给潜在的客户
- B.某服装公司邀请批发商参加其产品推广介绍会,在会上安排了表演、小竞赛、新产品试用等活动
- C.某公司为维护行业领军地位,多次举办全国性的行业讨论会,邀请其部分消费者参与研讨
- D.某化妆品公司先打开国外市场,树立国际品牌形象,然后在国内以电视购物的方式传播销售,逐步占领国内市场
- 查看答案
对县级以上各级人民代表大会代表批准或者决定逮捕必须经过( )。
-
- A.上级检察院批准
- B.上级人民代表大会同意
- C.本级人代会主席团或者人民代表大会常务委员会许可
- D.本级人民政府同意
- 查看答案