2020年全年规模以上工业增加值比上年增长7.5%,其中轻工业增长8.6%,重工业增长6.9%。分经济类型看,国有工业增长7.8%,集体工业增长2.0%,股份制工业增长8.0%,外商港澳台投资工业增长6.6%。在规模以上工业中,国有控股工业增长6.7%,私营工业增长8.0%。
全年规模以上工业企业实现主营业务收入15.5万亿元,比上年增长10.9%;利润总额10359.7亿元,比上年增长12.4%。企业亏损面11.6%,比上年下降0.7个百分点。规模以上工业企业总资产贡献率、主营业务收入利润率和成本费用利润率分别为15.0%、6.7%和7.2%。

2020年智能手机产量同比约增长了多少万台?
- A.1178
- B.1313
- C.1783
- D.2146
正确答案及解析
正确答案
B
解析
第一步,本题考查增长量计算。
第二步,定位表格材料。
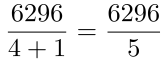
第三步,根据增长量计算n+1原则,26.35%≈
,可得2020年智能手机产量同比约增长
=1259.2,由于26.35%略>
,则增长量实际值略>1259.2,结合选项只有B选项满足。
因此,选择B选项。
包含此试题的试卷
你可能感兴趣的试题
《三国演义》开篇称:“天下大势,分久必合,合久必分。”但是这句话未必准确,因为( )。
-
- A.事物的发展需以条件为前提
- B.事物的本质不以时间为转移
- C.事物的质变是从量变开始的
- D.矛盾双方是可以相互转化的
- 查看答案
从所给的四个选项中,选择最合适的一个填入问号处,使之呈现一定的规律性:

-
- A.如上图所示
- B.如上图所示
- C.如上图所示
- D.如上图所示
- 查看答案
下列哪一项不属于《宪法》规定的公民的基本权利?( )
-
- A.环境权
- B.平等权
- C.出版自由
- D.受教育权
- 查看答案
体验营销是指企业采用让目标顾客观摩、聆听、尝试、试用等方式,使其亲身体验企业提供的产品或服务,让顾客实际感知产品或服务的品质或性能,从而促使顾客认知、喜好并购买的一种营销方式。
根据上述定义,下列采用了体验营销方式的是( )。
-
- A.某美容公司举办了一场以“亲子教育”为主题的消费者联谊会,把“为消费者着想”的经营理念传递给潜在的客户
- B.某服装公司邀请批发商参加其产品推广介绍会,在会上安排了表演、小竞赛、新产品试用等活动
- C.某公司为维护行业领军地位,多次举办全国性的行业讨论会,邀请其部分消费者参与研讨
- D.某化妆品公司先打开国外市场,树立国际品牌形象,然后在国内以电视购物的方式传播销售,逐步占领国内市场
- 查看答案
对县级以上各级人民代表大会代表批准或者决定逮捕必须经过( )。
-
- A.上级检察院批准
- B.上级人民代表大会同意
- C.本级人代会主席团或者人民代表大会常务委员会许可
- D.本级人民政府同意
- 查看答案