2020年全行业完成旅客周转量9513.04亿人公里,比上年增长13.5%。国内航线完成旅客周转量7036.53亿人公里,比上年增长13.2%,其中港澳台航线完成148.25亿人公里,比上年增长2.9%;国际航线完成旅客周转量2476.51亿人公里,比上年增长14.6%。

2020年,全行业完成旅客运输量55156万人次,比上年增长13.0%。国内航线完成旅客运输量49611万人次,比上年增长13.7%,其中港澳台航线完成1027万人次,比上年增长4.3%;国际航线完成旅客运输量5545万人次,比上年增长7.4%。

2020年全行业完成的旅客平均运送距离同比约增长:
- A.0.38%
- B.0.41%
- C.0.44%
- D.0.47%
正确答案及解析
正确答案
C
解析
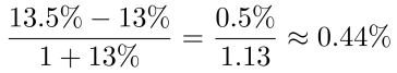
第一步,本题考查平均数增长率计算。
第二步,定位第一段和第二段文字材料“2020年全行业完成旅客周转量9513.04亿人公里,比上年增长13.5%。2020年全行业完成旅客运输量55156万人次,比上年增长13.0%”。
第三步,根据旅客平均运送距离=旅客周转量÷旅客运输量和平均数增长率公式
,代入数据得
。
因此,选择C选项。
包含此试题的试卷
你可能感兴趣的试题
《三国演义》开篇称:“天下大势,分久必合,合久必分。”但是这句话未必准确,因为( )。
-
- A.事物的发展需以条件为前提
- B.事物的本质不以时间为转移
- C.事物的质变是从量变开始的
- D.矛盾双方是可以相互转化的
- 查看答案
从所给的四个选项中,选择最合适的一个填入问号处,使之呈现一定的规律性:

-
- A.如上图所示
- B.如上图所示
- C.如上图所示
- D.如上图所示
- 查看答案
下列哪一项不属于《宪法》规定的公民的基本权利?( )
-
- A.环境权
- B.平等权
- C.出版自由
- D.受教育权
- 查看答案
体验营销是指企业采用让目标顾客观摩、聆听、尝试、试用等方式,使其亲身体验企业提供的产品或服务,让顾客实际感知产品或服务的品质或性能,从而促使顾客认知、喜好并购买的一种营销方式。
根据上述定义,下列采用了体验营销方式的是( )。
-
- A.某美容公司举办了一场以“亲子教育”为主题的消费者联谊会,把“为消费者着想”的经营理念传递给潜在的客户
- B.某服装公司邀请批发商参加其产品推广介绍会,在会上安排了表演、小竞赛、新产品试用等活动
- C.某公司为维护行业领军地位,多次举办全国性的行业讨论会,邀请其部分消费者参与研讨
- D.某化妆品公司先打开国外市场,树立国际品牌形象,然后在国内以电视购物的方式传播销售,逐步占领国内市场
- 查看答案
对县级以上各级人民代表大会代表批准或者决定逮捕必须经过( )。
-
- A.上级检察院批准
- B.上级人民代表大会同意
- C.本级人代会主席团或者人民代表大会常务委员会许可
- D.本级人民政府同意
- 查看答案