
能够从上述资料中推出的是:
- A.2021年1月,我国稀土及其制品出口量的同比增速高于其环比增速
- B.2021年第一季度,平均每吨稀土及其制品出口单价高于上年同期水平的月份有2个
- C.2021年3月,平均每吨稀土及其制品出口单价比上年增长不到15%
- D.2020年上半年,我国稀土及其制品出口量和出口额均同比上升的月份有3个
正确答案及解析
正确答案
A
解析
第一步,本题考查综合分析问题,且需选正确的一项。
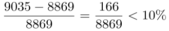
第二步,A选项,增长率比较。定位表格,2021年1月,我国稀土及其制品出口量的同比增速为11.3%,其环比增速为
,故同比增速高于其环比增速,正确。
B选项,两期平均数比较。定位表格,出口数量同比增速与出口金额同比增速所在列。根据两期平均数比较,分子的增长率>分母的增长率,则高于上年同期,反之低于。通过观察可知,出口额同比增速高于出口量同比增速的有:1月、2月和3月,共3个,错误。
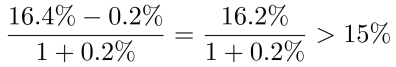
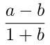
C选项,平均数增长率。定位表格,根据平均数增长率公式
,代入数据可得2021年3月,平均每吨稀土及其制品出口单价比上年增长
,超过15%,错误。
D选项,读数比较。定位表格,2020年上半年指2020年1—6月,出口量和出口额均同比上升,只需出口量和出口额的同比增速大于0。观察数据发现,满足的有3月和4月,共2个月,错误。
因此,选择A选项。
你可能感兴趣的试题
《三国演义》开篇称:“天下大势,分久必合,合久必分。”但是这句话未必准确,因为( )。
-
- A.事物的发展需以条件为前提
- B.事物的本质不以时间为转移
- C.事物的质变是从量变开始的
- D.矛盾双方是可以相互转化的
- 查看答案
从所给的四个选项中,选择最合适的一个填入问号处,使之呈现一定的规律性:

-
- A.如上图所示
- B.如上图所示
- C.如上图所示
- D.如上图所示
- 查看答案
下列哪一项不属于《宪法》规定的公民的基本权利?( )
-
- A.环境权
- B.平等权
- C.出版自由
- D.受教育权
- 查看答案
体验营销是指企业采用让目标顾客观摩、聆听、尝试、试用等方式,使其亲身体验企业提供的产品或服务,让顾客实际感知产品或服务的品质或性能,从而促使顾客认知、喜好并购买的一种营销方式。
根据上述定义,下列采用了体验营销方式的是( )。
-
- A.某美容公司举办了一场以“亲子教育”为主题的消费者联谊会,把“为消费者着想”的经营理念传递给潜在的客户
- B.某服装公司邀请批发商参加其产品推广介绍会,在会上安排了表演、小竞赛、新产品试用等活动
- C.某公司为维护行业领军地位,多次举办全国性的行业讨论会,邀请其部分消费者参与研讨
- D.某化妆品公司先打开国外市场,树立国际品牌形象,然后在国内以电视购物的方式传播销售,逐步占领国内市场
- 查看答案
对县级以上各级人民代表大会代表批准或者决定逮捕必须经过( )。
-
- A.上级检察院批准
- B.上级人民代表大会同意
- C.本级人代会主席团或者人民代表大会常务委员会许可
- D.本级人民政府同意
- 查看答案