
2019年11月,我国稀土及其制品的出口量环比:
- A.上升10%以内
- B.上升10%以上
- C.下降10%以内
- D.下降10%以上
正确答案及解析
正确答案
D
解析
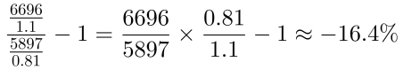
第一步,本题考查增长率计算。
第二步,定位表格。
第三步,增长率=现期量÷基期量-1,现期为2019年11月,基期为2019年10月,根据基期量=现期量÷(1+增长率),将分母从左向右截取前两位,代入数据可得2019年11月,我国稀土及其制品的出口量环比增速为
,D选项符合。
因此,选择D选项。
你可能感兴趣的试题
《三国演义》开篇称:“天下大势,分久必合,合久必分。”但是这句话未必准确,因为( )。
-
- A.事物的发展需以条件为前提
- B.事物的本质不以时间为转移
- C.事物的质变是从量变开始的
- D.矛盾双方是可以相互转化的
- 查看答案
从所给的四个选项中,选择最合适的一个填入问号处,使之呈现一定的规律性:

-
- A.如上图所示
- B.如上图所示
- C.如上图所示
- D.如上图所示
- 查看答案
下列哪一项不属于《宪法》规定的公民的基本权利?( )
-
- A.环境权
- B.平等权
- C.出版自由
- D.受教育权
- 查看答案
体验营销是指企业采用让目标顾客观摩、聆听、尝试、试用等方式,使其亲身体验企业提供的产品或服务,让顾客实际感知产品或服务的品质或性能,从而促使顾客认知、喜好并购买的一种营销方式。
根据上述定义,下列采用了体验营销方式的是( )。
-
- A.某美容公司举办了一场以“亲子教育”为主题的消费者联谊会,把“为消费者着想”的经营理念传递给潜在的客户
- B.某服装公司邀请批发商参加其产品推广介绍会,在会上安排了表演、小竞赛、新产品试用等活动
- C.某公司为维护行业领军地位,多次举办全国性的行业讨论会,邀请其部分消费者参与研讨
- D.某化妆品公司先打开国外市场,树立国际品牌形象,然后在国内以电视购物的方式传播销售,逐步占领国内市场
- 查看答案
对县级以上各级人民代表大会代表批准或者决定逮捕必须经过( )。
-
- A.上级检察院批准
- B.上级人民代表大会同意
- C.本级人代会主席团或者人民代表大会常务委员会许可
- D.本级人民政府同意
- 查看答案