现有一杯浓度为20%的糖水200克,加入6克糖,再加入24克水后,此时的糖水与原来相比:
- A.不如原来甜
- B.比原来甜
- C.一样甜
- D.无法确定
正确答案及解析
正确答案
C
解析
解法一:第一步,本题考查溶液问题。
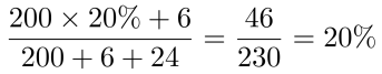
第二步,最终的糖水浓度为
,与之前一致,因此一样甜。
因此,选择C选项。
解法二:第一步,本题考查溶液问题。
第二步,新加入的溶液浓度为
=20%,与之前一致,那么整体浓度仍为20%,因此一样甜。
因此,选择C选项。
包含此试题的试卷
你可能感兴趣的试题
从所给的四个选项中,选择最合适的一个填入问号处,使之呈现一定的规律性:

-
- A.如上图所示
- B.如上图所示
- C.如上图所示
- D.如上图所示
- 查看答案
娱乐体育是指人们在余暇时间进行的一种娱乐性极强的身体活动,它既是一种娱乐手段,又是一种锻炼身体的手段。
根据上述定义,下列不属于娱乐体育的一项是( )。
-
- A.几年来,某地每年举办国际风筝节;每次都举行放风筝比赛
- B.为了吸引更多的游客,某新建公园举办了一次大型钓鱼比赛
- C.北京奥运会前夕,不少单位组织员工进行拔河比赛
- D.为了促进中国篮球事业发展,中国篮协每年都举办CBA比赛
- 查看答案
融资指一个企业资金筹集的行为与过程,可分为直接融资和间接融资。直接融资是不经金融机构这一媒介,由政府、企事业单位及个人直接以最后借款人的身份向最后贷款人进行的融资活动。
根据上述定义,下列不属于直接融资的一项是( )。
-
- A.某上市公司公开发行股票
- B.某企业向银行贷款筹集资金新建生产线
- C.政府发放国债投资建设高速铁路
- D.某公司所有股东对其公司追加投资
- 查看答案
某机关拟在全民国防教育日举办专项国防教育活动。至于采用何种活动形式,组织者甲、乙、丙三人意见如下:
甲:如果搞读书演讲、知识竞赛,那就不搞文艺演出和专题展览。
乙:如果不搞文艺演出和专题展览,那就搞读书演讲、知识竞赛。
丙:不搞读书演讲、知识竞赛。
上述三人的意见只有一个人的意见与最后结果相符合,最后结果是( )。
-
- A.搞读书演讲、知识竞赛,也搞文艺演出和专题展览
- B.搞读书演讲、知识竞赛,不搞文艺演出和专题展览
- C.搞文艺演出和专题展览,不搞读书演讲、知识竞赛
- D.不搞读书演讲、知识竞赛,也不搞文艺演出和专题展览
- 查看答案
拟制血亲关系是指当事人之间本无血缘关系,经过法定程序确认其为亲戚关系,在我国,拟制血亲关系仅指《婚姻法》《收养法》明确规定的情形。
根据上述定义,下列属于拟制血亲关系的一项是( )。
-
- A.在同一户口簿上的养父与养子
- B.孤儿院的保育员与孤儿
- C.义父与义子
- D.丈夫的私生子与妻子
- 查看答案