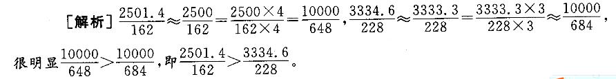
某地区1978年人口约为162万,粮食产量2501. 4万吨;2008年,该地区人口增长到228万人,粮食产量达到3334. 6万吨。则该地区人均粮食产量( )。
- A.增加了
- B.减少了
- C.保持不变
- D.无法判断
正确答案及解析
正确答案
B
解析

你可能感兴趣的试题
从所给的四个选项中,选择最合适的一个填入问号处,使之呈现一定的规律性:

-
- A.如上图所示
- B.如上图所示
- C.如上图所示
- D.如上图所示
- 查看答案
《三国演义》开篇称:“天下大势,分久必合,合久必分。”但是这句话未必准确,因为( )。
-
- A.事物的发展需以条件为前提
- B.事物的本质不以时间为转移
- C.事物的质变是从量变开始的
- D.矛盾双方是可以相互转化的
- 查看答案
中国共产党将减租减息政策改为没收地主土地分配给农民政策的文件是()。
-
- A.《中共闽西第一次代表大会决议》
- B.《关于清算减租及土地问题的指示》
- C.《中国土地法大纲》
- D.《中华人民共和国土地改革法》
- 查看答案
我国对资本主义工商业进行社会主义改造的政策是( )。
-
- A.无偿没收
- B.限制民族工商业
- C.和平赎买
- D.保护民族工商业
- 查看答案
最近一段时期,有关要发生地震的传言很多。一天傍晚,小芳问在院里乘凉的姥姥姥姥,他们都说明天要地震了。”姥姥说根据我的观察,明天不必然地震。”小芳说那您的意思是明天肯定不会地震了。”姥姥说不对。小芳陷入了迷惑。
以下哪句话与姥姥的意思最为接近?()
-
- A.明天可能不地震
- B.明天可能地震
- C.明天不可能不地震
- D.明天不可能地震
- 查看答案