
下列关于2009年该市旅游部门财务情况的描述,与资料相符的是( )。
- A.营业成本占营业收入比重最高的是旅行社
- B.景点的利润总额不到宾馆、酒店的2倍
- C.宾馆、酒店的投资收益在各旅游部门中最高
- D.景点的年末职工人数占所有旅游部门年末职工人数的一半以上
正确答案及解析
正确答案
A
解析
本題是文字分析题。
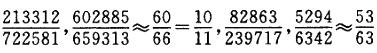
A选项,分数大小比较,本题就是比较:
的大小,明显发现第二个分数是最大的,所以比重最高的是旅行社。因此,答案选择A选项;
B选项,倍数计算,景点的利润为23814,宾馆酒店的为11040,明显发现景点的利润超过了宾馆酒店的2倍,因此B选项错误;
C选项,直接读数类,通过表格可以得到,投资收益最高的是其他旅游企业,因此C选项错误;
D选项,比重计算类,景点的年末职工人数为15812,而宾馆酒店的年末职工数为53881,也就是说景点的年末职工人数不到宾馆酒店的一半,也就不可能到所有旅游部门年末职工人数的一半,因此,D选项错误。
你可能感兴趣的试题
《三国演义》开篇称:“天下大势,分久必合,合久必分。”但是这句话未必准确,因为( )。
-
- A.事物的发展需以条件为前提
- B.事物的本质不以时间为转移
- C.事物的质变是从量变开始的
- D.矛盾双方是可以相互转化的
- 查看答案
从所给的四个选项中,选择最合适的一个填入问号处,使之呈现一定的规律性:

-
- A.如上图所示
- B.如上图所示
- C.如上图所示
- D.如上图所示
- 查看答案
下列哪一项不属于《宪法》规定的公民的基本权利?( )
-
- A.环境权
- B.平等权
- C.出版自由
- D.受教育权
- 查看答案
体验营销是指企业采用让目标顾客观摩、聆听、尝试、试用等方式,使其亲身体验企业提供的产品或服务,让顾客实际感知产品或服务的品质或性能,从而促使顾客认知、喜好并购买的一种营销方式。
根据上述定义,下列采用了体验营销方式的是( )。
-
- A.某美容公司举办了一场以“亲子教育”为主题的消费者联谊会,把“为消费者着想”的经营理念传递给潜在的客户
- B.某服装公司邀请批发商参加其产品推广介绍会,在会上安排了表演、小竞赛、新产品试用等活动
- C.某公司为维护行业领军地位,多次举办全国性的行业讨论会,邀请其部分消费者参与研讨
- D.某化妆品公司先打开国外市场,树立国际品牌形象,然后在国内以电视购物的方式传播销售,逐步占领国内市场
- 查看答案
对县级以上各级人民代表大会代表批准或者决定逮捕必须经过( )。
-
- A.上级检察院批准
- B.上级人民代表大会同意
- C.本级人代会主席团或者人民代表大会常务委员会许可
- D.本级人民政府同意
- 查看答案