请计算如题图所示架空线简易铁塔水平接地装置的工频接地电阻值最接近下面哪个数值,假定土壤电阻率ρ=500Ω·m,水平接地极采用50mm×50mm的扁钢,埋深h=0.8m。( )

- A.10Ω
- B.30Ω
- C.50Ω
- D.100Ω
正确答案及解析
正确答案
C
解析
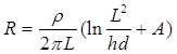
根据《交流电气装置接地设计规范》(GB 50065—2011)附录F第F.0.1条规定,杆塔水平接地装置的工频接地电阻可按下式计算:
。其中,d为水平接地极的直径或等效直径,m;h为水平接地极的埋设深度,m;S为接地网的总面积,m2。而At与L的意义与取值如表F.0.1(见题解表)所示。
题解表 At与L的意义与取值

由知At=1.76,L=4(l1+l2)=4×(2+2)=16m。因此杆塔水平接地装置的工频接地电阻可利用下式计算:

C项较为接近。
包含此试题的试卷
你可能感兴趣的试题
关于评标委员会组成的说法,正确的是( )。
-
- A.招标人代表2人,专家6人
- B.招标人代表2人,专家5人
- C.招标人代表2人,专家4人
- D.招标人代表2人,专家3人
- 查看答案
在标准状态下,若氢气(可视作刚性双原子分子的理想气体)和氦气的体积比为V1/V2=1/2,则其内能之比E1/E2为( )。
-
- A.3/10
- B.2/3
- C.5/6
- D.5/3
- 查看答案
在杨氏双缝实验中,若用白光作光源,则干涉条纹的情况为( )。
-
- A.中央明纹是白色的
- B.红光条纹较密
- C.紫光条纹间距较大
- D.干涉条纹为白色
- 查看答案
在驻波中,两个相邻波节间各质点的振动( )。
-
- A.振幅相同,相位相同
- B.振幅不同,相位相同
- C.振幅相同,相位不同
- D.振幅不同,相位不同
- 查看答案
下列各式中表示气体分子平均平动动能的是( )。(式中M为气体的质量,m为气体分子质量,μ为气体摩尔质量,n为气体分子数密度,NA为阿伏加德罗常量)
-
- A.(3m/2M)pV
- B.(3M/2μ)pV
- C.(3/2)npV
- D.<img src='http://tp.mxqe.com/data/233/16865615_0.jpg' alt='电气工程师基础专业知识,章节练习,工程基础专业' title='电气工程师基础专业知识,章节练习,工程基础专业'>
- 查看答案