变电所内,用于110kV直接接地系统的母线型无间隙金属氧化物避雷器的持续运行电压和额定电压应不低于下列哪项数值?( )
- A.57.6kV,71.8kV
- B.69.6kV,90.8kV
- C.72.7kV,94.5kV
- D.63.5kV,82.5kV
正确答案及解析
正确答案
C
解析
《交流电气装置的过电压保护和绝缘配合设计规范》(GB/T 50064—2014)第4.4.3条规定,当系统工频过电压符合本规范第4.1.1条和第4.1.3条的规定时,各种系统MOA的持续运行电压和额定电压可按表4.4.3(见题解表)选择。
题解表MOA持续运行电压和额定电压

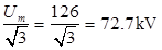
本题中,用于110kV直接接地系统的母线型无间隙金属氧化物避雷器的持续运行电压:
。
额定电压:0.75Um=0.75×126=94.5kV。
包含此试题的试卷
你可能感兴趣的试题
关于评标委员会组成的说法,正确的是( )。
-
- A.招标人代表2人,专家6人
- B.招标人代表2人,专家5人
- C.招标人代表2人,专家4人
- D.招标人代表2人,专家3人
- 查看答案
过z轴和点M(1,2,-1)的平面方程是:
-
- A.x+2y-z-6=0
- B.2x-y=0
- C.y+2z=0
- D.x+z=0
- 查看答案
关于扩声和音响系统设计中的以下问题,选择正确的答案。
扩声系统的技术指标,下列说法正确的包括()。
-
- A.最大可用增益:指扩声系统在厅堂内产生声反馈自激前,临界状态的系统增益减去6d
- B.时的增益;B混响时间:声源达到稳态,待停止发声后,室内声压级衰减40dB所需的时间;
- C.背景噪声:扩声系统不工作时,厅堂内各测量点处室内本底噪声声压级的平均值;
- D.声场不均匀度:扩声时,斤内各测量点处得到的稳态声压级的极大值和极小值的平均值。
- 查看答案
对某新建住宅小区有线电视系统设计中的以下问题,选择正确答案。
某干线放大器的标称最大输出电平为1O6dB.μV,串接3个放大器,传输频道为51个,分配给干线的交扰调制比系数为0.2。此时,该放大器实际可用的最大输出电平应为()
-
- A.95.45d
- B.μV;B90.45dBμV;
- C.85.45dB.μV;
- D.81.45dB.μV。
- 查看答案
对某新建住宅小区有线电视系统设计中的以下问题,选择正确答案。
小区内一有线电视前端宽带混合放大器,其标称最大输出电平为110dB.μV,系统传输频道数为12个,分配给前端的交扰调制比系数为0.2,则该放大器实际可用的最大输出电平设计值应为()。
-
- A.96.2d
- B.μV;B95.2dBμV;
- C.94.2dB.μV;
- D.93.2dB.μV。
- 查看答案