某110kV用户变电站由地区电网(无穷大电源容量)受电,有关系统接线和元件参数如题图所示,图中k点的三相短路全电流最大峰值为( )kA。

- A.28.18
- B.27.45
- C.26.71
- D.19.27
正确答案及解析
正确答案
C
解析
根据《工业与民用配电设计手册》(第四版)P283、284“4.4高压系统短路电流计算”相关内容,短路电路的电参数可以用有名单位制表示,也可以用标幺制表示。用标幺制计算时,先选取各参数基准值。
基准容量Sj取100MVA,基准电压为:Uj=Uav=1.05Un=1.05×110kV=115kV;基准电流为:

变压器电抗标幺值为:

三相短路电流

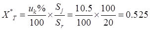
则10kV侧三相短路电流为:
根据已知条件取Kp=1.8,则三相短路电流峰值为:

包含此试题的试卷
你可能感兴趣的试题
关于评标委员会组成的说法,正确的是( )。
-
- A.招标人代表2人,专家6人
- B.招标人代表2人,专家5人
- C.招标人代表2人,专家4人
- D.招标人代表2人,专家3人
- 查看答案
在标准状态下,若氢气(可视作刚性双原子分子的理想气体)和氦气的体积比为V1/V2=1/2,则其内能之比E1/E2为( )。
-
- A.3/10
- B.2/3
- C.5/6
- D.5/3
- 查看答案
在杨氏双缝实验中,若用白光作光源,则干涉条纹的情况为( )。
-
- A.中央明纹是白色的
- B.红光条纹较密
- C.紫光条纹间距较大
- D.干涉条纹为白色
- 查看答案
在驻波中,两个相邻波节间各质点的振动( )。
-
- A.振幅相同,相位相同
- B.振幅不同,相位相同
- C.振幅相同,相位不同
- D.振幅不同,相位不同
- 查看答案
下列各式中表示气体分子平均平动动能的是( )。(式中M为气体的质量,m为气体分子质量,μ为气体摩尔质量,n为气体分子数密度,NA为阿伏加德罗常量)
-
- A.(3m/2M)pV
- B.(3M/2μ)pV
- C.(3/2)npV
- D.<img src='http://tp.mxqe.com/data/233/16865615_0.jpg' alt='电气工程师基础专业知识,章节练习,工程基础专业' title='电气工程师基础专业知识,章节练习,工程基础专业'>
- 查看答案