某变电站的500kV线路为关口计量点,拟装设专门的0.2级计费电能表,线路电流互感器和电压互感器均设有专门的计量用二次绕组。其中,线路电压互感器为三相星形接线,电压互感器一次电压为500A/√3kV,二次星形电压为0.1/√3kV。
如电能表电压回路每相负荷按1OVA计,由电压互感器端子箱至电能表屏的电缆长度约为200m,则该回路铜芯电缆最小截面应选()。
- A.2.5mm2;
- B.4mm2;
- C.6mm2;
- D.8mm2。
正确答案及解析
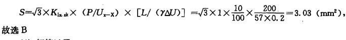
正确答案
B
解析
解答过程:
根据电力工程电气设计手册(2)(103页)20-45式

你可能感兴趣的试题
关于评标委员会组成的说法,正确的是( )。
-
- A.招标人代表2人,专家6人
- B.招标人代表2人,专家5人
- C.招标人代表2人,专家4人
- D.招标人代表2人,专家3人
- 查看答案
在标准状态下,若氢气(可视作刚性双原子分子的理想气体)和氦气的体积比为V1/V2=1/2,则其内能之比E1/E2为( )。
-
- A.3/10
- B.2/3
- C.5/6
- D.5/3
- 查看答案
在杨氏双缝实验中,若用白光作光源,则干涉条纹的情况为( )。
-
- A.中央明纹是白色的
- B.红光条纹较密
- C.紫光条纹间距较大
- D.干涉条纹为白色
- 查看答案
在驻波中,两个相邻波节间各质点的振动( )。
-
- A.振幅相同,相位相同
- B.振幅不同,相位相同
- C.振幅相同,相位不同
- D.振幅不同,相位不同
- 查看答案
下列各式中表示气体分子平均平动动能的是( )。(式中M为气体的质量,m为气体分子质量,μ为气体摩尔质量,n为气体分子数密度,NA为阿伏加德罗常量)
-
- A.(3m/2M)pV
- B.(3M/2μ)pV
- C.(3/2)npV
- D.<img src='http://tp.mxqe.com/data/233/16865615_0.jpg' alt='电气工程师基础专业知识,章节练习,工程基础专业' title='电气工程师基础专业知识,章节练习,工程基础专业'>
- 查看答案