某超髙压送电线路,试根据下列给定条件判断。
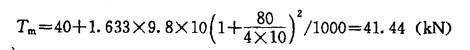
定位中要检查耐张绝缘子的允许荷载是否大于导线张力,设该档两悬挂点高差为80m,两点至导线最低点的弧垂为10m,导线最低点张力为40kN,导线重量为1.633kg/m,计算导线悬挂点张力为()。
- A.41.51kN;
- B.41.44kV;
- C.40.15kN;
- D.40.48kN。
正确答案及解析
正确答案
B
解析
分析过程:

你可能感兴趣的试题
关于评标委员会组成的说法,正确的是( )。
-
- A.招标人代表2人,专家6人
- B.招标人代表2人,专家5人
- C.招标人代表2人,专家4人
- D.招标人代表2人,专家3人
- 查看答案
过z轴和点M(1,2,-1)的平面方程是:
-
- A.x+2y-z-6=0
- B.2x-y=0
- C.y+2z=0
- D.x+z=0
- 查看答案
在计算等效三相负荷时,如果只有线间负荷,则多台时的等效三相负荷取最大线间负荷的倍加上次大线间负荷的( )。

-
- A.见图A
- B.见图B
- C.见图C
- D.见图D
- 查看答案
当转差率5不变时,交流电动机的转速与电源频率成正比变化。如果忽略定子压降的影响,异步电动机的定子电压满足下面的关系式( )。

-
- A.见图A
- B.见图B
- C.见图C
- D.见图D
- 查看答案



-
- A.见图A
- B.见图B
- C.见图C
- D.见图D
- 查看答案