题目详情

周期或短时工作制电动机的设备功率,当采用需要系数法计算负荷时,应将额定功率统一换算到下列哪一项负荷持续率的有功功率?( )

  • A.ε=25%
  • B.ε=50%
  • C.ε=75%
  • D.ε=100%

正确答案及解析

正确答案
A
解析

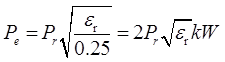
根据《工业与民用配电设计手册》(第三版)P2第5~7行内容,短时或周期工作制电动机的设备功率是指将额定功率换算为统一负荷持续率下的有功功率。当采用需要系数法计算负荷时,应统一换算到负载持续率ε为25%下的有功功率电气工程师供配电专业,历年真题,2013年注册电气工程师供配电专业知识真题卷上

包含此试题的试卷

你可能感兴趣的试题

单选题

电气工程师基础专业知识,预测试卷,2021年注册电气工程师《专业基础》预测试卷5

电气工程师基础专业知识,预测试卷,2021年注册电气工程师《专业基础》预测试卷5

  • A.见图A
  • B.见图B
  • C.见图C
  • D.见图D
查看答案
单选题

电气工程师基础专业知识,预测试卷,2021年注册电气工程师《专业基础》预测试卷5

  • A.见图A
  • B.见图B
  • C.见图C
  • D.见图D
查看答案
单选题

电气工程师基础专业知识,预测试卷,2021年注册电气工程师《专业基础》预测试卷5

电气工程师基础专业知识,预测试卷,2021年注册电气工程师《专业基础》预测试卷5

  • A.见图A
  • B.见图B
  • C.见图C
  • D.见图D
查看答案
单选题

电气工程师基础专业知识,预测试卷,2021年注册电气工程师《专业基础》预测试卷5电气工程师基础专业知识,预测试卷,2021年注册电气工程师《专业基础》预测试卷5

电气工程师基础专业知识,预测试卷,2021年注册电气工程师《专业基础》预测试卷5

  • A.见图A
  • B.见图B
  • C.见图C
  • D.见图D
查看答案
单选题

电气工程师基础专业知识,预测试卷,2021年注册电气工程师《专业基础》预测试卷5

  • A.见图A
  • B.见图B
  • C.见图C
  • D.见图D
查看答案

相关题库更多 +