题目详情

电气工程师发输变电专业,章节练习,继电保护、安全自动装置及调度自动化

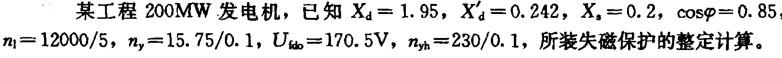
闭锁元件一负序电流动作值为()。

  • A.0.10~0.16A;
  • B.0.18~0. 21 A;
  • C.0. 25~0. 30A;
  • D.0. 32~0. 36A

正确答案及解析

正确答案
B
解析

根据《大型发电机变压器继电保护整定计算导则》(DL/T684—1999)4.6条的要求:

负序电流元件动作电流

电气工程师发输变电专业,章节练习,继电保护、安全自动装置及调度自动化

你可能感兴趣的试题

单选题

过z轴和点M(1,2,-1)的平面方程是:

  • A.x+2y-z-6=0
  • B.2x-y=0
  • C.y+2z=0
  • D.x+z=0
查看答案
单选题

电气工程师公共基础,历年真题,2013年注册电气工程师《公共基础考试》真题

  • A.见图A
  • B.见图B
  • C.见图C
  • D.见图D
查看答案
单选题

电气工程师公共基础,历年真题,2013年注册电气工程师《公共基础考试》真题

  • A.见图A
  • B.见图B
  • C.见图C
  • D.见图D
查看答案
单选题

电气工程师公共基础,历年真题,2013年注册电气工程师《公共基础考试》真题

  • A.见图A
  • B.见图B
  • C.见图C
  • D.见图D
查看答案
单选题

电气工程师公共基础,历年真题,2013年注册电气工程师《公共基础考试》真题

  • A.见图A
  • B.见图B
  • C.见图C
  • D.见图D
查看答案

相关题库更多 +