某500kV输变电工程建设主要数据假定如下:
工程总投资(Z):30000万元(其中线路、变电所各50%)
工程经济使用年限(n):25年
检修、维护费率:线路2.2%、变电所4.2%
电力工业投资回收率(i):10%
方案年电能损失费用(u2):1350万元
注:因本工程建设时间短,投资和年运行费用不霈要折算。
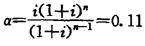
投资(或资金)回收系数(。是()。
- A.0.13;
- B.0.10;
- C.0.11;
- D.0.12。
正确答案及解析
正确答案
C
解析

某500kV输变电工程建设主要数据假定如下:
工程总投资(Z):30000万元(其中线路、变电所各50%)
工程经济使用年限(n):25年
检修、维护费率:线路2.2%、变电所4.2%
电力工业投资回收率(i):10%
方案年电能损失费用(u2):1350万元
注:因本工程建设时间短,投资和年运行费用不霈要折算。
投资(或资金)回收系数(。是()。
