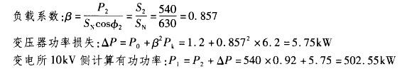
某车间变电所设置一台10/0.4kV、630kV.A变压器,其空载有功损耗1.2kW,满载有功损耗6.2kW。车间负荷数据见下表。

假设变电所0. 4kV侧计算视在功率为540kV. A,功率因数为0. 92,问变电所10kV侧计算有功功率为哪一项? ( )
- A.593kW
- B.506kW
- C.503kW
- D.497kW
正确答案及解析
正确答案
C
解析
《钢铁企业电力设计手册》(上册)P291式(6-14)和式(6-17)。
某车间变电所设置一台10/0.4kV、630kV.A变压器,其空载有功损耗1.2kW,满载有功损耗6.2kW。车间负荷数据见下表。

假设变电所0. 4kV侧计算视在功率为540kV. A,功率因数为0. 92,问变电所10kV侧计算有功功率为哪一项? ( )
《钢铁企业电力设计手册》(上册)P291式(6-14)和式(6-17)。