—座66/10kV重要变电所,装有容量为16000kV·A的主变压器两台,采用蓄电池直流操作系统,所有断路器配电磁操作机构。控制、信号等经常负荷为2000W,事故照明负荷为1000W,最大一台断路器合闸电流为98A。
请回答下列问题。
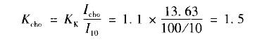
若选择一组10h放电标称容量为100A·h的220V铅酸蓄电池作为直流电源,若事故初期放电电流13. 63A,计算事故放电初期冲击系数应为下列哪一项数值?(可靠系数Kk =1.10)
- A.1.5
- B.1.0
- C.0.5
- D.12.28
正确答案及解析
正确答案
A
解析
.《电力工程直流系统设计技术规程》(DL/T 5044—2004)附录 B. 2 . 1 . 3 式(B. 2)。

包含此试题的试卷
你可能感兴趣的试题
关于评标委员会组成的说法,正确的是( )。
-
- A.招标人代表2人,专家6人
- B.招标人代表2人,专家5人
- C.招标人代表2人,专家4人
- D.招标人代表2人,专家3人
- 查看答案
在标准状态下,若氢气(可视作刚性双原子分子的理想气体)和氦气的体积比为V1/V2=1/2,则其内能之比E1/E2为( )。
-
- A.3/10
- B.2/3
- C.5/6
- D.5/3
- 查看答案
在杨氏双缝实验中,若用白光作光源,则干涉条纹的情况为( )。
-
- A.中央明纹是白色的
- B.红光条纹较密
- C.紫光条纹间距较大
- D.干涉条纹为白色
- 查看答案
在驻波中,两个相邻波节间各质点的振动( )。
-
- A.振幅相同,相位相同
- B.振幅不同,相位相同
- C.振幅相同,相位不同
- D.振幅不同,相位不同
- 查看答案
下列各式中表示气体分子平均平动动能的是( )。(式中M为气体的质量,m为气体分子质量,μ为气体摩尔质量,n为气体分子数密度,NA为阿伏加德罗常量)
-
- A.(3m/2M)pV
- B.(3M/2μ)pV
- C.(3/2)npV
- D.<img src='http://tp.mxqe.com/data/233/16865615_0.jpg' alt='电气工程师基础专业知识,章节练习,工程基础专业' title='电气工程师基础专业知识,章节练习,工程基础专业'>
- 查看答案