

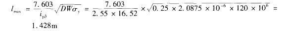
计算当铝母线采用50 x5mm2时,已知铝母线最大允许应力σy = 120MPa,按机械强度允许的母线最大跨距应为下列哪一项数据? ( )
- A.0.8m
- B.1,43m
- C.2,86m
- D.3,64m
正确答案及解析
正确答案
B
解析
《工业与民用配电设计手册》(第三版)P209式(5-18)。
包含此试题的试卷
你可能感兴趣的试题
关于评标委员会组成的说法,正确的是( )。
-
- A.招标人代表2人,专家6人
- B.招标人代表2人,专家5人
- C.招标人代表2人,专家4人
- D.招标人代表2人,专家3人
- 查看答案
依据《安全生产法》的规定,生产经营单位主要负责人必须是生产经营单位生产经营活动的( )。
-
- A.法定代表人
- B.董事长
- C.总负责人
- D.主要决策人
- 查看答案
己二胺和己二酸缩合得到的产物是( )。
-
- A.尼龙66
- B.环氧树脂
- C.丁腈橡胶
- D.尼龙6
- 查看答案
将pH=2.00的HCl溶液与pH=13.00的NaOH溶液等体积混合后,溶液的pH值是( )。
-
- A.7.00
- B.12.65
- C.3.00
- D.11.00
- 查看答案
比较原子半径大小,下列叙述错误的是( )。
-
- A.K>Na
- B.S>P
- C.Al>Si
- D.Na>Mg
- 查看答案