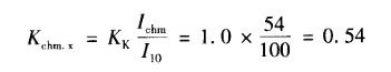
一座110kV中心变电所,装有容量为31500kV*A主变压器两台,控制、信号等经常负荷为2000W,事故照明负荷为3000W,最大一台断路器合闸电流为54A。请回答下列问题。
若选择一组蓄电池容量为100A*h的220V铅酸蓄电池作为直流电源,计算事故放电末期放电率,选择下列哪一项数值是正确的? ( )
- A.0.09
- B.0.136
- C.0.23
- D.0.54
正确答案及解析
正确答案
D
解析
《电力工程直流系统设计技术规程》(DL/T 5044-2004)附录B. 2. 1. 3 式(B.5)。

注:此处可靠系徽取1,否则无答案此题不严谨。








