题目详情

空气中半径为R的球域内存在电荷体密度ρ=0.5r的电荷,则空间最大的电场强度值为(  )。

  • A.R2/(8ε0)
  • B.R/(8ε0)
  • C.R2/(4ε0)
  • D.R/(4ε0)

正确答案及解析

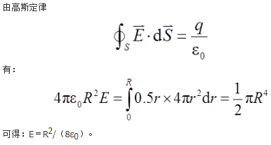
正确答案
A
解析

电气工程师基础专业知识,历年真题,2018年电气工程师《(供配电)专业基础》真题

包含此试题的试卷

你可能感兴趣的试题

单选题

关于评标委员会组成的说法,正确的是(  )。

  • A.招标人代表2人,专家6人
  • B.招标人代表2人,专家5人
  • C.招标人代表2人,专家4人
  • D.招标人代表2人,专家3人
查看答案
单选题

过z轴和点M(1,2,-1)的平面方程是:

  • A.x+2y-z-6=0
  • B.2x-y=0
  • C.y+2z=0
  • D.x+z=0
查看答案
单选题

电气工程师公共基础,历年真题,2013年注册电气工程师《公共基础考试》真题

  • A.见图A
  • B.见图B
  • C.见图C
  • D.见图D
查看答案
单选题

电气工程师公共基础,历年真题,2013年注册电气工程师《公共基础考试》真题

  • A.见图A
  • B.见图B
  • C.见图C
  • D.见图D
查看答案
单选题

电气工程师公共基础,历年真题,2013年注册电气工程师《公共基础考试》真题

  • A.见图A
  • B.见图B
  • C.见图C
  • D.见图D
查看答案

相关题库更多 +