同步发电机的暂态电势在短路瞬间如何变化( )
- A.为零
- B.变大
- C.不变
- D.变小
正确答案及解析
正确答案
C
解析
突然短路与稳态对称短路不同,后者不在转子绕组中感应电流,但在突然短路中,定子电流的幅值是变化的,因而电枢反应磁通在变化,会使转子绕组感应电流,并且这个电流产生的磁动势反过来又影响定子的电流,因此在突然短路分析中,每个短路绕组都将出现这样的电压方程式:.

式中,ψ为短路绕组的磁链,包括自磁链和互磁链。
忽略绕组的电阻r,积分式得:ψ=ψ0=常数。
式中,ψ0为在短路瞬间该绕组所环链的磁链。
由此可见,在没有电阻的闭合回路中,原来所具有的磁链,将永远保持不变,这种关系成为超导体闭合回路磁链不变原则。
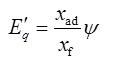
暂态电动势不同于空载电动势,是假想的、在交轴方向Xd后面的电动势,有:

式中,xad为短路后,对应原主磁通电枢电流的交轴电抗;xf为励磁回路电抗。
暂态电动势正比于励磁绕组磁链,由于ψ在突然短路前后不变,所以Eq’在短路前后瞬间也不变。
包含此试题的试卷
你可能感兴趣的试题
关于评标委员会组成的说法,正确的是( )。
-
- A.招标人代表2人,专家6人
- B.招标人代表2人,专家5人
- C.招标人代表2人,专家4人
- D.招标人代表2人,专家3人
- 查看答案
在标准状态下,若氢气(可视作刚性双原子分子的理想气体)和氦气的体积比为V1/V2=1/2,则其内能之比E1/E2为( )。
-
- A.3/10
- B.2/3
- C.5/6
- D.5/3
- 查看答案
在杨氏双缝实验中,若用白光作光源,则干涉条纹的情况为( )。
-
- A.中央明纹是白色的
- B.红光条纹较密
- C.紫光条纹间距较大
- D.干涉条纹为白色
- 查看答案
在驻波中,两个相邻波节间各质点的振动( )。
-
- A.振幅相同,相位相同
- B.振幅不同,相位相同
- C.振幅相同,相位不同
- D.振幅不同,相位不同
- 查看答案
下列各式中表示气体分子平均平动动能的是( )。(式中M为气体的质量,m为气体分子质量,μ为气体摩尔质量,n为气体分子数密度,NA为阿伏加德罗常量)
-
- A.(3m/2M)pV
- B.(3M/2μ)pV
- C.(3/2)npV
- D.<img src='http://tp.mxqe.com/data/233/16865615_0.jpg' alt='电气工程师基础专业知识,章节练习,工程基础专业' title='电气工程师基础专业知识,章节练习,工程基础专业'>
- 查看答案