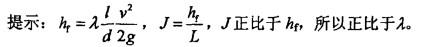
均匀紊流的水力坡度()。
-
A.与管道长度成正比
-
B.与管内平均流速成正比
-
C.与沿程损失系数成正比
-
D.与动力黏滞系数成正比
你可能感兴趣的试题
-
单选题
关于评标委员会组成的说法,正确的是( )。
-
- A.招标人代表2人,专家6人
- B.招标人代表2人,专家5人
- C.招标人代表2人,专家4人
- D.招标人代表2人,专家3人
- 查看答案
-
单选题
过z轴和点M(1,2,-1)的平面方程是:
-
- A.x+2y-z-6=0
- B.2x-y=0
- C.y+2z=0
- D.x+z=0
- 查看答案
-
单选题

-
- 查看答案
-
单选题

-
- A.F1
- B.F2
- C.F3
- D.F1、F2和F3
- 查看答案
-
单选题

-
- A.<14%
- B.14%~15%
- C.15%~16%
- D.>16%
- 查看答案