题目详情

作用水头相同的两管道1、2,两管的直径d1=2d2,沿程阻力系数相同,长度相同, 不计局部损失,则通过的流量关系为( )。

  • A.Q1=Q2
  • B.Q1=2.64Q2
  • C.Q1=5.66Q2
  • D.Q1=6.14Q2

正确答案及解析

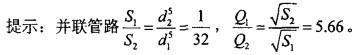
正确答案
C
解析

电气工程师公共基础,预测试卷,2021年《公共基础》预测试卷4

包含此试题的试卷

你可能感兴趣的试题

单选题

关于评标委员会组成的说法,正确的是(  )。

  • A.招标人代表2人,专家6人
  • B.招标人代表2人,专家5人
  • C.招标人代表2人,专家4人
  • D.招标人代表2人,专家3人
查看答案
单选题

过z轴和点M(1,2,-1)的平面方程是:

  • A.x+2y-z-6=0
  • B.2x-y=0
  • C.y+2z=0
  • D.x+z=0
查看答案
单选题

电气工程师公共基础,章节练习,注册电气工程师(工程管理基础)

  • A.5.4
  • B.5.6
  • C.7.4
  • D.7.6
查看答案
单选题

电气工程师公共基础,章节练习,注册电气工程师(工程管理基础)

  • A.F1
  • B.F2
  • C.F3
  • D.F1、F2和F3
查看答案
单选题

电气工程师公共基础,章节练习,注册电气工程师(工程管理基础)

  • A.<14%
  • B.14%~15%
  • C.15%~16%
  • D.>16%
查看答案

相关题库更多 +