某理想气体在进行卡诺循环时,低温热源的温度为T,高温热源的温度为nT。则该理想气体在一个循环中从高温热源吸收的热量向低温热源放出的热量之比为( )。
- A.(n+1):n
- B.(n-1):n
- C.n
- D.n-1
正确答案及解析
正确答案
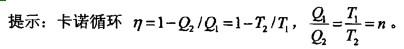
C
解析

你可能感兴趣的试题

-
- A.

- B.

- C.

- D.

- A.
- 查看答案
若路灯采用三相四线制低压配电线路供电,每相接入25盏灯具,每盏灯具的基波电流为1.45A,每相的三次谐波电流含量为42%,选用YJV-0. 6/1. 0kV电缆,线路N 线与相线同截面,电缆载流量见下表(已考虑环境温度影响),若不计电压降,电缆截面最小选用下列哪一项数值? ( )

-
- A.4mm2
- B.6mm2
- C.10mm2
- D.16mm2
- 查看答案
若灯具高度为13m,光源采用150W高压钠灯,光通量为160001m,维护系数为0. 65,灯具间距25m,灯具在人行道侧和车道侧的利用系数按表1和表2选择,试计算道路平均照度为下列哪一项数值? ( )

-
- A.71x
- B.151x
- C.231x
- D.291x
- 查看答案
某企业110kV变电站直流系统电压110V,釆用阀控式密闭铅酸蓄电池组,无端电池,单体电池浮充电2.23V,直流系统不带压降装置,充电装置釆用一组20A的高频开关电源模块若干个,站内控制负荷、动力负荷合并供电。
若灯具采用半截光型,灯具高度为13m,按灯具的配光类型、布置方式,计算灯具的间距不宜大于下列哪一项数值? ( )
-
- A.32.5m
- B.30m
- C.45.5m
- D.52m
- 查看答案
某企业110kV变电站直流系统电压110V,釆用阀控式密闭铅酸蓄电池组,无端电池,单体电池浮充电2.23V,直流系统不带压降装置,充电装置釆用一组20A的高频开关电源模块若干个,站内控制负荷、动力负荷合并供电。
若道路的路面平均亮度维持值LAV为1.5cd/m2,该道路的路面亮度符合下列哪一种道路照明设计标准? ( )
-
- A.居住区道路
- B.支路
- C.次干路
- D.主干路
- 查看答案