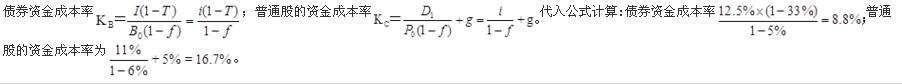
某公司拟用债券和普通股两种方式融资,其中债券的融资费率为5%,利息率为12.5%;普通股筹资费率为6%,第一年股利率为11%,以后每年增长5%。该公司所得税率为33%,则债券与普通股的资金成本率分别为( )。
- A.8.8%、16.7%
- B.13.2%、7.8%
- C.8.8%、7.8%
- D.13.2%、16.7%
正确答案及解析
正确答案
A
解析

某公司拟用债券和普通股两种方式融资,其中债券的融资费率为5%,利息率为12.5%;普通股筹资费率为6%,第一年股利率为11%,以后每年增长5%。该公司所得税率为33%,则债券与普通股的资金成本率分别为( )。
