系统如图所示,母线B发生两相接地短路时,短路点短路电流标幺值为(不计负荷影响)( )。


- A.3.39
- B.2.39
- C.5.47
- D.6.72
正确答案及解析
正确答案
C
解析
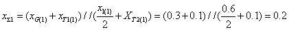
B点发生两相接地短路故障时,正序、负序、零序三序并联,分别求正负零序电路的短路电流标幺值。三序的总电抗值如下:



三序电流分别如下:


系统如图所示,母线B发生两相接地短路时,短路点短路电流标幺值为(不计负荷影响)( )。


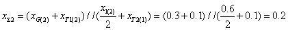
B点发生两相接地短路故障时,正序、负序、零序三序并联,分别求正负零序电路的短路电流标幺值。三序的总电抗值如下:



三序电流分别如下:

