电路如题图所示,已知R1=R2,R3=R4=R5,且运放的性能均理想,的表达式为?( )


- A.见图A
- B.见图B
- C.见图C
- D.见图D
正确答案及解析
正确答案
A
解析
由图可知,电路由一个反相比例运算电路和反相加法运算电路级联而成。
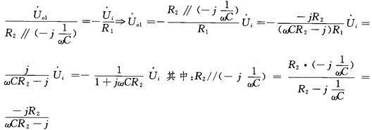
对于A1:
利用虚短、虚地概念:


对于A2:
利用虚短、虚地概念:


将上述两式合并,可得:

电路如题图所示,已知R1=R2,R3=R4=R5,且运放的性能均理想,的表达式为?( )


由图可知,电路由一个反相比例运算电路和反相加法运算电路级联而成。
对于A1:
利用虚短、虚地概念:


对于A2:
利用虚短、虚地概念:


将上述两式合并,可得:
