承受竖直向下载荷的等截面悬臂梁,结构外分别采用整块材料、两块材料并列、三块材料并列和两块材料叠合(未粘接)四种方案,对应横截面如图所示。在这四种横截面中,发生最大弯曲正应力的截面是( )。

- A.图(A)
- B.图(B)
- C.图(C)
- D.图(D)
正确答案及解析
正确答案
D
解析
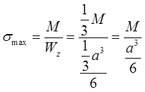
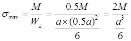
分别计算四个图的弯曲正应力。
对于图(A):

对于图(B):

对于图(C):

对于图(D):

故图(D)的弯曲正应力最大。
包含此试题的试卷
你可能感兴趣的试题
关于评标委员会组成的说法,正确的是( )。
-
- A.招标人代表2人,专家6人
- B.招标人代表2人,专家5人
- C.招标人代表2人,专家4人
- D.招标人代表2人,专家3人
- 查看答案
己二胺和己二酸缩合得到的产物是( )。
-
- A.尼龙66
- B.环氧树脂
- C.丁腈橡胶
- D.尼龙6
- 查看答案
将pH=2.00的HCl溶液与pH=13.00的NaOH溶液等体积混合后,溶液的pH值是( )。
-
- A.7.00
- B.12.65
- C.3.00
- D.11.00
- 查看答案
比较原子半径大小,下列叙述错误的是( )。
-
- A.K>Na
- B.S>P
- C.Al>Si
- D.Na>Mg
- 查看答案
3d轨道的磁量子数m的合理值是:
-
- A.1、2、3
- B.0、1、2
- C.3
- D.0、±1、±2
- 查看答案