题目详情

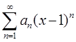
若幂级数电气工程师公共基础,历年真题,2020年注册电气工程师《公共基础考试》真题在x=0处收敛,在x=-4处发散,则幂级数电气工程师公共基础,历年真题,2020年注册电气工程师《公共基础考试》真题的收敛域是(  )。

  • A.(-1,3)
  • B.[-1,3)
  • C.(-1,3]
  • D.[-1,3]

正确答案及解析

正确答案
C
解析

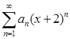
由题意的岩土基础知识,历年真题,2020年全国注册土木工程师(岩土)执业资格考试公共基础收敛域为(-4,0];故岩土基础知识,历年真题,2020年全国注册土木工程师(岩土)执业资格考试公共基础的收敛域为(-2,2];由-2<x-1≤2可得-1<x≤3,故岩土基础知识,历年真题,2020年全国注册土木工程师(岩土)执业资格考试公共基础的收敛域是(-1,3]。

包含此试题的试卷

你可能感兴趣的试题

单选题

关于评标委员会组成的说法,正确的是(  )。

  • A.招标人代表2人,专家6人
  • B.招标人代表2人,专家5人
  • C.招标人代表2人,专家4人
  • D.招标人代表2人,专家3人
查看答案
单选题

己二胺和己二酸缩合得到的产物是( )。

  • A.尼龙66
  • B.环氧树脂
  • C.丁腈橡胶
  • D.尼龙6
查看答案
单选题

将pH=2.00的HCl溶液与pH=13.00的NaOH溶液等体积混合后,溶液的pH值是( )。

  • A.7.00
  • B.12.65
  • C.3.00
  • D.11.00
查看答案
单选题

比较原子半径大小,下列叙述错误的是( )。

  • A.K>Na
  • B.S>P
  • C.Al>Si
  • D.Na>Mg
查看答案
单选题

3d轨道的磁量子数m的合理值是:

  • A.1、2、3
  • B.0、1、2
  • C.3
  • D.0、±1、±2
查看答案

相关题库更多 +