
- A.<img src='http://tp.mxqe.com/data/36/11311599_0_1.jpg' alt='电气工程师公共基础,章节练习,内部冲刺,第一部分工程科学基础,第一章高等数学' title='电气工程师公共基础,章节练习,内部冲刺,第一部分工程科学基础,第一章高等数学'>
- B.<img src='http://tp.mxqe.com/data/36/11311599_0_2.jpg' alt='电气工程师公共基础,章节练习,内部冲刺,第一部分工程科学基础,第一章高等数学' title='电气工程师公共基础,章节练习,内部冲刺,第一部分工程科学基础,第一章高等数学'>
- C.<img src='http://tp.mxqe.com/data/36/11311599_0_3.jpg' alt='电气工程师公共基础,章节练习,内部冲刺,第一部分工程科学基础,第一章高等数学' title='电气工程师公共基础,章节练习,内部冲刺,第一部分工程科学基础,第一章高等数学'>
- D.<img src='http://tp.mxqe.com/data/36/11311599_0_4.jpg' alt='电气工程师公共基础,章节练习,内部冲刺,第一部分工程科学基础,第一章高等数学' title='电气工程师公共基础,章节练习,内部冲刺,第一部分工程科学基础,第一章高等数学'>
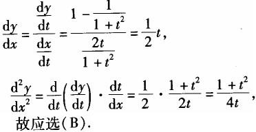
正确答案及解析
正确答案
B
解析









