设随机变量X的密度函数为f(x),且f(-x)=f(x),F(x)是X的分布函数,则对任意实数a有( )。
- A.<img src='http://tp.mxqe.com/data/233/16865345_0.jpg' alt='注册环保工程师公共基础,真题专项训练,工程科学基础,高等数学' title='注册环保工程师公共基础,真题专项训练,工程科学基础,高等数学'>
- B.<img src='http://tp.mxqe.com/data/233/16865345_0_1.jpg' alt='注册环保工程师公共基础,真题专项训练,工程科学基础,高等数学' title='注册环保工程师公共基础,真题专项训练,工程科学基础,高等数学'>
- C.F(-a)=F(a)
- D.F(-a)=2F(a)-1
正确答案及解析
正确答案
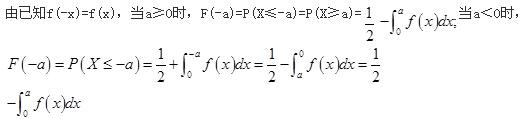
B
解析









