
- A.<img src='http://tp.mxqe.com/data/36/11308579_0_1.jpg' alt='电气工程师公共基础,章节练习,内部冲刺,第一部分工程科学基础,第五章材料力学' title='电气工程师公共基础,章节练习,内部冲刺,第一部分工程科学基础,第五章材料力学'>
- B.<img src='http://tp.mxqe.com/data/36/11308579_0_2.jpg' alt='电气工程师公共基础,章节练习,内部冲刺,第一部分工程科学基础,第五章材料力学' title='电气工程师公共基础,章节练习,内部冲刺,第一部分工程科学基础,第五章材料力学'>
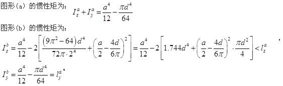
- C.<img src='http://tp.mxqe.com/data/36/11308579_0_3.jpg' alt='电气工程师公共基础,章节练习,内部冲刺,第一部分工程科学基础,第五章材料力学' title='电气工程师公共基础,章节练习,内部冲刺,第一部分工程科学基础,第五章材料力学'>
- D.<img src='http://tp.mxqe.com/data/36/11308579_0_4.jpg' alt='电气工程师公共基础,章节练习,内部冲刺,第一部分工程科学基础,第五章材料力学' title='电气工程师公共基础,章节练习,内部冲刺,第一部分工程科学基础,第五章材料力学'>
正确答案及解析
正确答案
B
解析

你可能感兴趣的试题
关于评标委员会组成的说法,正确的是( )。
-
- A.招标人代表2人,专家6人
- B.招标人代表2人,专家5人
- C.招标人代表2人,专家4人
- D.招标人代表2人,专家3人
- 查看答案
质量相等的两个质点,在相同的力的作用下,它们的速度和加速度( )。
-
- A.都相等
- B.都不相等
- C.速度相等,加速度不相等
- D.速度可能相等,也可能不相等,但加速度一定相等
- 查看答案
在标准状态下,若氢气(可视作刚性双原子分子的理想气体)和氦气的体积比为V1/V2=1/2,则其内能之比E1/E2为( )。
-
- A.3/10
- B.2/3
- C.5/6
- D.5/3
- 查看答案
在杨氏双缝实验中,若用白光作光源,则干涉条纹的情况为( )。
-
- A.中央明纹是白色的
- B.红光条纹较密
- C.紫光条纹间距较大
- D.干涉条纹为白色
- 查看答案
点做曲线运动,则下列情形中,做加速运动的是( )。
-
- A.<img src='http://tp.mxqe.com/data/233/16867486_0.jpg' alt='结构基础考试一级,章节练习,结构专业基础' title='结构基础考试一级,章节练习,结构专业基础'>
- B.<img src='http://tp.mxqe.com/data/233/16867486_0_1.jpg' alt='结构基础考试一级,章节练习,结构专业基础' title='结构基础考试一级,章节练习,结构专业基础'>
- C.<img src='http://tp.mxqe.com/data/233/16867486_0_2.jpg' alt='结构基础考试一级,章节练习,结构专业基础' title='结构基础考试一级,章节练习,结构专业基础'>
- D.<img src='http://tp.mxqe.com/data/233/16867486_0_3.jpg' alt='结构基础考试一级,章节练习,结构专业基础' title='结构基础考试一级,章节练习,结构专业基础'>
- 查看答案