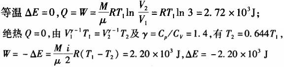
1mol的刚性双原子分子理想气体,温度为t=25℃,压强p=1.0atm,分别经等温过程和绝热过程膨胀至原来体积的三倍,则以下结果中正确的是( )。
- A.<img src='http://tp.mxqe.com/data/736/13573271_0.jpg' alt='基础知识,真题专项训练,工程科学基础' title='基础知识,真题专项训练,工程科学基础'>
- B.<img src='http://tp.mxqe.com/data/736/13573271_0_1.jpg' alt='基础知识,真题专项训练,工程科学基础' title='基础知识,真题专项训练,工程科学基础'>
- C.<img src='http://tp.mxqe.com/data/736/13573271_0_2.jpg' alt='基础知识,真题专项训练,工程科学基础' title='基础知识,真题专项训练,工程科学基础'>
- D.<img src='http://tp.mxqe.com/data/736/13573271_0_3.jpg' alt='基础知识,真题专项训练,工程科学基础' title='基础知识,真题专项训练,工程科学基础'>
正确答案及解析
正确答案
A
解析




