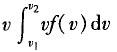
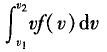
若f(v)为麦克斯韦气体分子速率分布函数,则速率在v1至v2区间内的分子的平均速率应为( )。
-
A.
-
B.
-
C.
-
D.
正确答案及解析
正确答案
C
解析









