
-
A.
-
B.
-
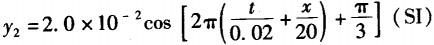
C.
-
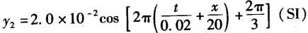
D.
正确答案及解析
正确答案
C
解析
在x=0处为波节,要求人、反射波在该处反相位。在各选项中,令x=0,其初相位与y1反相的便是解。正确答案应为C








