题目详情

电气工程师公共基础,章节练习,内部冲刺,第一部分工程科学基础,第二章物理学

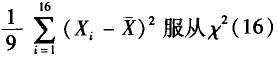
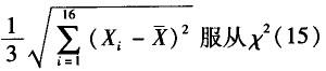
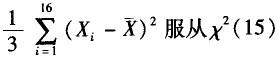
  • A.电气工程师公共基础,章节练习,内部冲刺,第一部分工程科学基础,第二章物理学
  • B.电气工程师公共基础,章节练习,内部冲刺,第一部分工程科学基础,第二章物理学
  • C.电气工程师公共基础,章节练习,内部冲刺,第一部分工程科学基础,第二章物理学
  • D.电气工程师公共基础,章节练习,内部冲刺,第一部分工程科学基础,第二章物理学

正确答案及解析

正确答案
C
解析

电气工程师公共基础,章节练习,内部冲刺,第一部分工程科学基础,第二章物理学

你可能感兴趣的试题

单选题

电气工程师基础专业知识,预测试卷,2021年注册电气工程师《专业基础》预测试卷5

电气工程师基础专业知识,预测试卷,2021年注册电气工程师《专业基础》预测试卷5

  • A.见图A
  • B.见图B
  • C.见图C
  • D.见图D
查看答案
单选题

电气工程师基础专业知识,预测试卷,2021年注册电气工程师《专业基础》预测试卷5

  • A.见图A
  • B.见图B
  • C.见图C
  • D.见图D
查看答案
单选题

电气工程师基础专业知识,预测试卷,2021年注册电气工程师《专业基础》预测试卷5

电气工程师基础专业知识,预测试卷,2021年注册电气工程师《专业基础》预测试卷5

  • A.见图A
  • B.见图B
  • C.见图C
  • D.见图D
查看答案
单选题

电气工程师基础专业知识,预测试卷,2021年注册电气工程师《专业基础》预测试卷5电气工程师基础专业知识,预测试卷,2021年注册电气工程师《专业基础》预测试卷5

电气工程师基础专业知识,预测试卷,2021年注册电气工程师《专业基础》预测试卷5

  • A.见图A
  • B.见图B
  • C.见图C
  • D.见图D
查看答案
单选题

电气工程师基础专业知识,预测试卷,2021年注册电气工程师《专业基础》预测试卷5

  • A.见图A
  • B.见图B
  • C.见图C
  • D.见图D
查看答案

相关题库更多 +