
- A.<img src='http://tp.mxqe.com/data/36/11310782_0_1.jpg' alt='电气工程师公共基础,章节练习,内部冲刺,第一部分工程科学基础,第二章物理学' title='电气工程师公共基础,章节练习,内部冲刺,第一部分工程科学基础,第二章物理学'>
- B.<img src='http://tp.mxqe.com/data/36/11310782_0_2.jpg' alt='电气工程师公共基础,章节练习,内部冲刺,第一部分工程科学基础,第二章物理学' title='电气工程师公共基础,章节练习,内部冲刺,第一部分工程科学基础,第二章物理学'>
- C.<img src='http://tp.mxqe.com/data/36/11310782_0_3.jpg' alt='电气工程师公共基础,章节练习,内部冲刺,第一部分工程科学基础,第二章物理学' title='电气工程师公共基础,章节练习,内部冲刺,第一部分工程科学基础,第二章物理学'>
- D.<img src='http://tp.mxqe.com/data/36/11310782_0_4.jpg' alt='电气工程师公共基础,章节练习,内部冲刺,第一部分工程科学基础,第二章物理学' title='电气工程师公共基础,章节练习,内部冲刺,第一部分工程科学基础,第二章物理学'>
正确答案及解析
正确答案
B
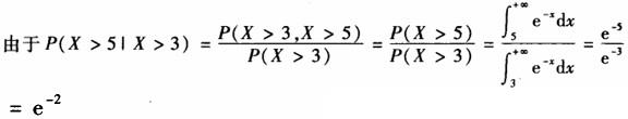
解析



