反应
此温度下平衡时,如p(PCl5)=p(PCl3),则p(Cl2)等于:
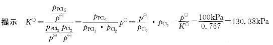
- A.130. 38kPa
- B.0. 767kPa
- C.760 7kPa
- D.7.67X10-3kPa
正确答案及解析
正确答案
A
解析

包含此试题的试卷
你可能感兴趣的试题
独立避雷针和架空避雷线(网)的支柱及其接地装置至被保护建筑物及与其有联系的管道、电缆等金属物之间的距离,应符合下列表达式中( )的要求,但不得小于3m。
-
- A.地上部分:当hx<5Ri时,Sa1≥0.4(Ri+0.1hx)
- B.地上部分:当hx>5Ri时,Sa1>0.1(Ri+hx)
- C.地上部分:当hx<5Ri时,Sa1>0.5(Ri+0.1hx)
- D.地上部分:当hx≥5Ri时,Sa1>0.2(Ri+hx)
- 查看答案
变配电所网络结构应( )。
-
- A.网络拓扑宜采用总线型或环型,也可采用星型。站控层与间隔层之间的物理连接宜用星型
- B.站控层宜采用国际标准推荐的标准以太网。站控层系统应具有良好的开放性
- C.断路器处于不正常状态不允许实现自动重合闸时,应将自动重合闸装置闭锁
- D.自动重合闸装置在装置的某些元件损坏以及断路器触点粘住或拒动等情况下,均不应使断路器多次重合
- 查看答案
公共广播系统一般采用定压输出方式,输出电压为( )或( )。
-
- A.70V
- B.80V
- C.120V
- D.100V
- 查看答案
建筑照明设计选取照度标准值,符合( )之一时,可以提高一级照度。
-
- A.识别精细作业,且距离大于300mm时
- B.识别移动对象
- C.建筑等级和功能要求高时
- D.视觉作业对操作安全有重要影响
- 查看答案
下列选项中,有关设备功率说法不正确的是( )。
-
- A.成组用电设备的设备功率是指不包括备用设备在内的所有单个用电设备的设备功率之和
- B.整流器的设备功率是指额定直流功率
- C.电磁炉设备功率是其额定功率的1.25倍
- D.白炽灯的设备功率为灯泡额定功率。气体放电灯的设备功率为灯管额定功率加上镇流器的功率损耗(荧光灯加20%,荧光高压汞灯、高压钠灯及镝灯加8%)
- 查看答案