题目详情

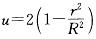
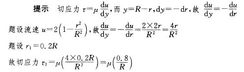
半径为R的圆管中,横截面上流速分布为电气工程师公共基础,章节练习,基础复习,流体力学,其中r表示到圆管轴线的距离,则在r1=0.2R处的黏性切应力与r2=R处的黏性切应力大小之比为:

  • A.5
  • B.25
  • C.1/5
  • D.1/25

正确答案及解析

正确答案
C
解析

基础知识,章节练习,流体力学

基础知识,章节练习,流体力学

你可能感兴趣的试题

单选题

过z轴和点M(1,2,-1)的平面方程是:

  • A.x+2y-z-6=0
  • B.2x-y=0
  • C.y+2z=0
  • D.x+z=0
查看答案
单选题

电气工程师公共基础,历年真题,2013年注册电气工程师《公共基础考试》真题

  • A.见图A
  • B.见图B
  • C.见图C
  • D.见图D
查看答案
单选题

电气工程师公共基础,历年真题,2013年注册电气工程师《公共基础考试》真题

  • A.见图A
  • B.见图B
  • C.见图C
  • D.见图D
查看答案
单选题

电气工程师公共基础,历年真题,2013年注册电气工程师《公共基础考试》真题

  • A.见图A
  • B.见图B
  • C.见图C
  • D.见图D
查看答案
单选题

电气工程师公共基础,历年真题,2013年注册电气工程师《公共基础考试》真题

  • A.见图A
  • B.见图B
  • C.见图C
  • D.见图D
查看答案

相关题库更多 +