![]()
电动机的输出功率为( )。
-
A.19.86kW;
-
B.20.87kW;
-
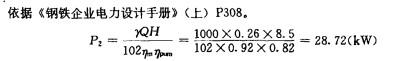
C.28.72kW;
-
D.48.23kW。
你可能感兴趣的试题
-
单选题
关于评标委员会组成的说法,正确的是( )。
-
- A.招标人代表2人,专家6人
- B.招标人代表2人,专家5人
- C.招标人代表2人,专家4人
- D.招标人代表2人,专家3人
- 查看答案
-
单选题
过z轴和点M(1,2,-1)的平面方程是:
-
- A.x+2y-z-6=0
- B.2x-y=0
- C.y+2z=0
- D.x+z=0
- 查看答案
-
单选题


-
- 查看答案
-
单选题


-
- 查看答案
-
单选题


-
- 查看答案