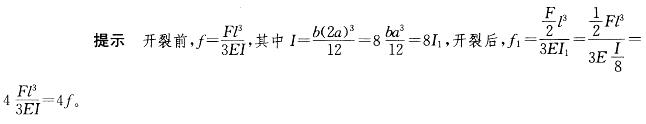
悬臂梁AB由两根相同的矩形截面梁胶合而成。若胶合面全部开裂,假设开裂后两杆的弯曲变形相同,接触面之间无摩擦力,则裂后梁的最大挠度是原来的:
- A.两者相同
- B.2倍
- C.4倍
- D.8倍<img src='http://tp.mxqe.com/data/736/16869763_0.jpg' alt='基础知识,章节练习,材料力学' title='基础知识,章节练习,材料力学'>
正确答案及解析
正确答案
C
解析

悬臂梁AB由两根相同的矩形截面梁胶合而成。若胶合面全部开裂,假设开裂后两杆的弯曲变形相同,接触面之间无摩擦力,则裂后梁的最大挠度是原来的:
