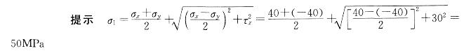
受力体一点处的应力状态如图所示,该点的最大主应力σ1为:
- A.70MPa
- B.10MPa
- C.40MPa
- D.50MPa<img src='http://tp.mxqe.com/data/36/16864683_0.jpg' alt='电气工程师公共基础,专项练习,注册电气工程师《公共基础》材料力学' title='电气工程师公共基础,专项练习,注册电气工程师《公共基础》材料力学'>
正确答案及解析
正确答案
D
解析

包含此试题的试卷
你可能感兴趣的试题
关于评标委员会组成的说法,正确的是( )。
-
- A.招标人代表2人,专家6人
- B.招标人代表2人,专家5人
- C.招标人代表2人,专家4人
- D.招标人代表2人,专家3人
- 查看答案
己二胺和己二酸缩合得到的产物是( )。
-
- A.尼龙66
- B.环氧树脂
- C.丁腈橡胶
- D.尼龙6
- 查看答案
将pH=2.00的HCl溶液与pH=13.00的NaOH溶液等体积混合后,溶液的pH值是( )。
-
- A.7.00
- B.12.65
- C.3.00
- D.11.00
- 查看答案
比较原子半径大小,下列叙述错误的是( )。
-
- A.K>Na
- B.S>P
- C.Al>Si
- D.Na>Mg
- 查看答案
3d轨道的磁量子数m的合理值是:
-
- A.1、2、3
- B.0、1、2
- C.3
- D.0、±1、±2
- 查看答案