某砂土地基采用1m直径振冲碎石桩处理,已知砂土初始孔隙比e0=1.0,最大孔隙比emax=1.1,最小孔隙比emin=0.7,挤密后砂土的相对密实度达到0.83,则采用正方形布桩时合理桩间距最接近下列哪个选项?(不考虑振动下沉挤密作用)( )
- A.1.8m
- B.2.2m
- C.2.6m
- D.3.0m
正确答案及解析
正确答案
C
解析
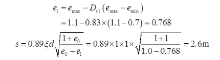
根据《建筑地基处理技术规范》(JGJ 79—2012)第7.2.2条第4款规定,采用正方形布桩时,合理的桩间距:

式中,s为砂石桩间距(m);d为砂石桩直径(m);ξ为修正系数,当考虑振动下沉密实作用时,可取1.1~1.2;不考虑振动下沉密实作用时,可取1.0;e0为地基处理前砂土的孔隙比;e1为地基挤密后要求达到的孔隙比;emax、emin为砂土的最大、最小孔隙比。
包含此试题的试卷
你可能感兴趣的试题
TCP/IP协议是Internet中计算机之间通信所必须共同遵循的一种:
-
- A.信息资源
- B.通信规定
- C.软件
- D.硬件
- 查看答案
已知矩形基础底面的压力分布为三角形,最大边缘压力为Pmax,最小边缘压力为零,基础的宽度为B,长度为L,基础底面积为A,抵抗矩为W,传至基础底面的竖向力为N。下列的表述中符合上述基础底面压力分布特征的正确说法( )。

-
- A.见图A
- B.见图B
- C.见图C
- D.见图D
- 查看答案
基础尺寸与荷载如图3-6所示,下列哪些选项是正确的?


-
- A.见图A
- B.见图B
- C.见图C
- D.见图D
- 查看答案
已知矩形基础底面的压力为线性分布,宽度方向最大边缘压力为基底平均压力的1. 2 倍,基础的宽度为B,长度为L,基础底面积为A,抵抗矩为W,传至基础底面的竖向力为N,力矩为M,间下列哪些说法是正确的? ( )

-
- A.见图A
- B.见图B
- C.见图C
- D.见图D
- 查看答案
下列()是多年冻土融沉系数的正确表达式。(其中,e1为融沉前的孔隙比,e2为融沉后的孔隙比)

-
- A.见图A
- B.见图B
- C.见图C
- D.见图D
- 查看答案