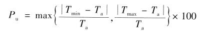
波形梁板的镀锌层均匀性检测已知板双面18个点的最大值为148.2μm最小值为99.2μm平均值为122.1μm则构件的均匀性为21%( )
正确答案及解析
正确答案
正确
解析
依据构件形状和成型工艺在构件每一面的上中下、左中右各取一点单面9个点双面共18个点用磁性测厚仪测得各点的厚度得到一个测量列分别求出测量列的平均值、最小值和最大值按下式计算涂层的不均匀度。本题计算结果为18.8%和21.4%取其中的较大值。

你可能感兴趣的试题
一组水泥混凝土标准立方体试件进行抗压强度试验,极限荷载分别为780KN,710KN,900KN,该组试件的抗压强度为( )。
-
- A.35.4MPa
- B.34.7MPa
- C.33.1MPa
- D.作废
- 查看答案
某水运码头工程预制砼工厂堆有集料。需要对集料取样进行检验,请回答以下相关问题:
实验人员按照《水运工程混凝土试验检测技术规范》JTS/T236-2019,进行了砂的坚固性试验,下列关于砂的坚固性试验说法错误的是( )。
-
- A.各种粒径的试样质量都为100g
- B.第一次循环应在硫酸钠溶液中浸泡20h
- C.共6次循环
- D.从第二次循环开始,浸泡及烘烤时间均为4h
- 查看答案
某水运码头工程预制砼工厂堆有集料。需要对集料取样进行检验,请回答以下相关问题:
试验人员依据《水运工程混凝土试验检测技术规范》JTS236-2019,对有机物含量进行了检测,以下说法正确的是( )
-
- A.检测砂的有机物含量的方法是比色法。
- B.当试样上部的溶液颜色浅于标准溶液的颜色时,则试样的有机质含量判定合格;
- C.当两种溶液的颜色接近时,将该试样包括上部溶液倒入烧杯中,在温度为(60~70)℃的水浴锅中加热(23)h,然后再与标准溶液比色;
- D.当溶液的颜色深于标准色时,取风干试样一份,用3%氢氧化钠溶液洗除有机杂质,用清水淘洗干净,至试样用比色法试验时溶液的颜色浅于标准色,然后用洗除有机质和未洗除有机质的试样分别按有关规定配制两种水泥砂浆,测定28d的抗压强度,当未经洗除有机杂质的砂的胶砂强度与经洗除有机质后的砂的胶砂强度比不低于0.95时,试样的有机质含量判定为合格
- 查看答案
某水运码头工程预制砼工厂堆有集料。需要对集料取样进行检验,请回答以下相关问题:
岩石抗压强度试验中,六个样品的抗压强度分别为20,20,20,20,5,5MPa,则该组试验结果为( )MPa。
-
- A.20
- B.15
- C.5
- D.改组试验无效,需要重新进行试验
- 查看答案
对于细集料的质量检验:关于含泥量和泥块含量试验,下列说法正确的有( )。
-
- A.试验前均应将样品放置于温度为105±5℃的烘箱中烘干至恒重
- B.试验过程中均需要使用1.25mm筛和0.080mm筛
- C.含泥量试验时,样品在水中需浸泡4h
- D.泥块含量试验时,样品在水中需浸泡24h
- E.同一样品,泥块含量的测试结果一般比含泥量要小一些
- 查看答案