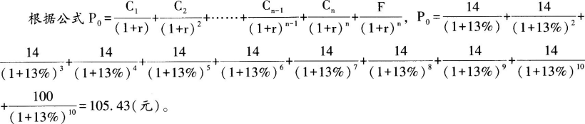
现有按年收益率14%每年付息一次的100元债券,期限10年。当市场利率为13%时,债券价格为( )元。
- A.94.98
- B.105.43
- C.103
- D.100
正确答案及解析
正确答案
B
解析
本题考查分期付息到期归还本金债券的定价公式。

你可能感兴趣的试题
政府为了保护农业生产者,对部分农业产品规定了保护价格。为了采取这种价格政策, 应采取相应的措施是( )。
-
- A.取消农业税
- B.对城镇居民实行粮食配给制
- C.当市场上出现农产品过剩时进行收购
- D.扩大农民家电消费
- 查看答案
下列关于工程监理单位和监理人员职责的表述中,正确的是()。
-
- A.工程监理人员认为工程施工不符合工程设计要求、施工技术标准和合同约定的,有权要求施工企业整改
- B.工程监理人员发现工程设计不符合建筑工程质量标准或者合同约定的质量要求的,有权要求设计单位改正
- C.未经总监理工程师签字,建筑材料、建筑构配件和设备不得在工程上使用或安装
- D.工程监理单位在实施监理过程中,发现存在安全事故隐患且情况严重的,应当及时向有关主管部门报告
- 查看答案
凯恩斯主义认为人们的货币需求不稳定,因而货币政策应是()。
-
- A.当机立断
- B.相机行事
- C.单一规则
- D.适度从紧
- 查看答案
下列比率指标的不同类型中,流动比率属于( )。
-
- A.构成比率
- B.动态比率
- C.相关比率
- D.效率比率
- 查看答案
通货膨胀对生产具有一定的刺激作用,这主要发生在通货膨胀的( )。
-
- A.初期
- B.中期
- C.中后期
- D.后期
- 查看答案